이전 챕터에서는 자기회로와 공극에 대해서 이야기했는데 이번에는 전자기적 유도현상에 대해서 이야기하겠습니다.
전자기적 유도현상은 어릴때부터 꾸준히 배우는 가장 중요한 현상중 하나라고 생각합니다. 대부분의 물리현상은 어떤 현상이 존재하면 그 역의 현상도 존재합니다. 예를 들어 유체속에 중력이 있으면 부력이 작용하는 것처럼 말이죠. 이전에 코일에 흐르는 전류가 주위 공간의 자기장에 변화를 일으킨다는 것을 이야기 했습니다. 반대로 자기장의 변화가 코일의 전류에 영향을 미칩니다. 자석을 코일에 접근시키거나 코일로부터 멀어진다면 코일 안쪽을 지나는 자속에 변화가 생겨 코일에 전류가 흐르는 현상이 나타납니다. 이를 전자기 유도라고 합니다.
코일에 전류가 흐를 때 방향은 자석의 이동방향에 따라 달라집니다. 왼쪽을 보면 자석의 N극이 코일에 가까워 집니다. 이때는 코일위쪽에서 보았을 때 반시계방향의 전류가 흐릅니다. 그렇게 되면 코일에서 위쪽은 N극 아래쪽은 S극이 되어 다가오는 자석을 방해하는 방향으로 힘이 형성됩니다. 오른쪽 같은 경우는 멀어지는 자석을 막기 위해 위가 S 아래가 N극으로 형성됩니다. 결과적으로 코일 전류는 자석의 움직임을 방해하는 방향의 자속을 만들어낸다고 알 수 있습니다. 이렇게 흐르는 전류가 자속의 변화를 방해하는 쪽으로 작용하는 현상을 렌쯔의 법칙이라고 합니다.
이때 코일 외부회로를 통해 전류가 흐르는 것은 코일에 기전력이 발생하기 때문입니다. 이를 유도기전력이라고 합니다.
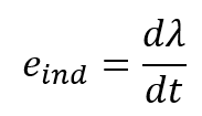
이때 코일의 자속에 따라 유도기전력의 방향은 렌쯔의 법칙으로 알았는데, 크기는 어떻게 알까요? 바로 패러데이의 법칙으로 알 수 있습니다.
N은 턴수입니다. 즉 코일의 매 턴마다 자속의 변화율만큼 기전력이 유기되며 직렬로 연결된 N개 턴의 기전력이 모두 더해져 코일 양 단자 사이에 나타남을 알 수 있습니다. 위 식에서 자속은 코일 안쪽을 통과하는 자속을 뜻합니다. 예를 들어 코일 바깥쪽을 흐르는 자속이 있다면 이는 식과 전혀상관없습니다. 턴수 N인 코일에서 코일 내부를 지나는 자속 쇄교량 혹은 쇄교 자속을
다음과 같이 정의할 수 있습니다.
위 패러데이 법칙 또한 쇄교자속을 이용하면
다음과 같이 정의할 수 있습니다. 즉, 코일 양단에 나타나는 기전력은 쇄교자속의 변화율과 같은 걸 알 수 있습니다.
지금까지 외부에서 자속의 변화가 생길 떄 코일에 기전력이 유기되는 것을 알았는데요, 이번에는 코일 자체에서 전류가 변화할 때 자속의 변화를 알아보겠습니다.
전류가 증가하거나 전류가 감소한다면 자속은 변합니다. 예를 들어 위와 같은 그림인데 자석을 보지 않겠습니다.
이떄, 자석이 없다고 가정하고 코일 내부에 철심이 있다고 가정하면, 전류의 세기가 변할 시 철심에 자속의 양은 달라지게 됩니다. 전류가 커지면서 자속이 증가한다면 방해하는 방향으로 기전력이 유기됩니다. 즉 자속을 방해하기 위한 기전력이 유기되어 전류의 상승을 억제하려고 합니다.
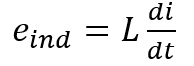
쇄교자속을 다음과 같이 쓸 수 있다는 걸 압니다. 이때 맨 오른쪽 i 에 붙어있는 식을 L이라는 인덕턴스라고 정의합니다. (단위는 H) 인덕턴스가 뭐냐? 라고 묻는다면 쇄교자속과 전류사이의 비례상수 라고 이야기할 수 있습니다.
전기공학을 공부하는 학생은 알겠지만 회로에서 인덕터에서 사용되는 인덕턴스와 같은 인덕턴스입니다. 기전력의 관점에서 다시 정리하면
다음과 같이 됩니다. 회로 관점에서 보면 코일에 전류가 흐를 때 코일 양단에 어떤 기전력이 나타나는 지 특성을 표현하는 상수가 됩니다. 인덕턴스는 주어진 전류로 얼마나 많은 자속쇄교량이 만들어지는 지를 나타냅니다. 코일의 인덕턴스가 크다는 것은 작은 전류로 큰 자속이 만들어진다는 뜻이고 이는 자기저항이 작다는 것과 같습니다. 코일에 자기저항이 작은 강자성체 철심을 사용하면 철심이 없을 때에 비해 인덕턴스가 몇천배 증가할 수 있겠죠.
오늘 개념이 많이 나왔는데 인덕턴스와 유도기전력 개념은 알고가셨으면 좋겠습니다. 인덕턴스는 전기전자공학에서 단순히 전기기기 뿐만 아니라 전자회로, 교류회로 등 다양한 곳에서 사용되는 개념입니다.
다음에는 자기 인덕턴스, 상호 인덕턴스와 교류전압과 자속에 대해 이야기 하겠습니다.
'전동기 개념 정리 > electric machine' 카테고리의 다른 글
[electric machine]1-6. 코일의 자화 전류 (0) | 2024.03.11 |
---|---|
[electric machine ] 1-5, 1-6 인덕턴스와 교류전압 (0) | 2024.03.01 |
[electric machine ] 1-4 자기회로, 공극 (0) | 2024.02.22 |
[electric machine ] 1-3 자계강도, 투자율과 자화특성 곡선 (0) | 2024.02.13 |
[electric machine ] 1-2 자기포화와 자구 (0) | 2024.02.12 |